Son Dakika


Toki Sakarya Geyve 140 Sosyal Konut Projesi Kuraları Çekildi İşte Listeler.
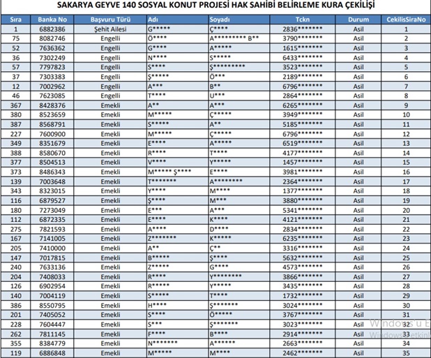
Toplu Konut İdaresi Başkanlığı (TOKİ) tarafından hayata geçirilen ve kamuoyunda “500 Bin Sosyal Konut Projesi” olarak bilinen dev sosyal konut hamlesi kapsamında Geyve’de inşa edilecek 140 konut için kura çekilişi bugün gerçekleştirildi. Saat 11.00’de yapılan kura çekimi sonrası hak sahipleri belirlenirken, sonuç listeleri erişime açıldı.
Geyve’de 140 Konut İçin Büyük Heyecan,
Geyve’de yapılacak 140 konut için başvuruda bulunan vatandaşlar, kura çekimini büyük bir heyecanla takip etti. Kura programı canlı yayınlanırken, Sakarya genelinde binlerce vatandaş süreci anbean izledi. İsmi kurada çıkan vatandaşlar büyük sevinç yaşarken, sonuçların açıklanmasıyla birlikte e- Devlet sistemi ve TOKİ’nin resmi internet sitesi üzerinden yoğun sorgulama yapıldı.
Yorum yapabilmek için Giriş yapın.
BENZER HABERLER